1
/
of
6
Work/Life English
D-15.03 Get & Embed Noun Clauses After Certain Verbs & in Direct & Indirect Speech
D-15.03 Get & Embed Noun Clauses After Certain Verbs & in Direct & Indirect Speech
Regular price
$4.00 USD
Regular price
Sale price
$4.00 USD
Unit price
/
per
Lessons 81-90 of Chapter 9: Noun Clauses (“Immigration”) of WorkLife English Grammar 6: Issues & Answers, pages 137-150
14 pages
Who It’s For: (Self-)Teachers & Helpers at High Proficiency Levels Wanting to Utilize “Dependent Clauses That Act as Nouns” in All Possible Patterns
Why It’s Useful: The most “productive” Part of Speech, Nouns can be single words, phrases, or even clauses (grammatical units containing both subjects and verbs). Dependent Clauses don’t “express entire thoughts” on their own. Even so, after be; verbs like know, hope, or find out; adjectives such as sure, afraid, or glad; the filler it; the conjunction that—and in direct and indirect quotations, Noun Clauses can be quite expressive and sound very elegant. The ten distinct Lessons of this Chapter on the highly relevant subject of “Immigration” do the job of telling it like it is.
What You’ll Do:
[1] Look over the page 137 Chapter 9 Opener. Note the ten “Subtopics” of the Grammar of Noun Clauses; imagine how these might be “contextualized” into migration-related Subject Matter. Choose which of these Lessons you wish to approach or cover and in what sequence.
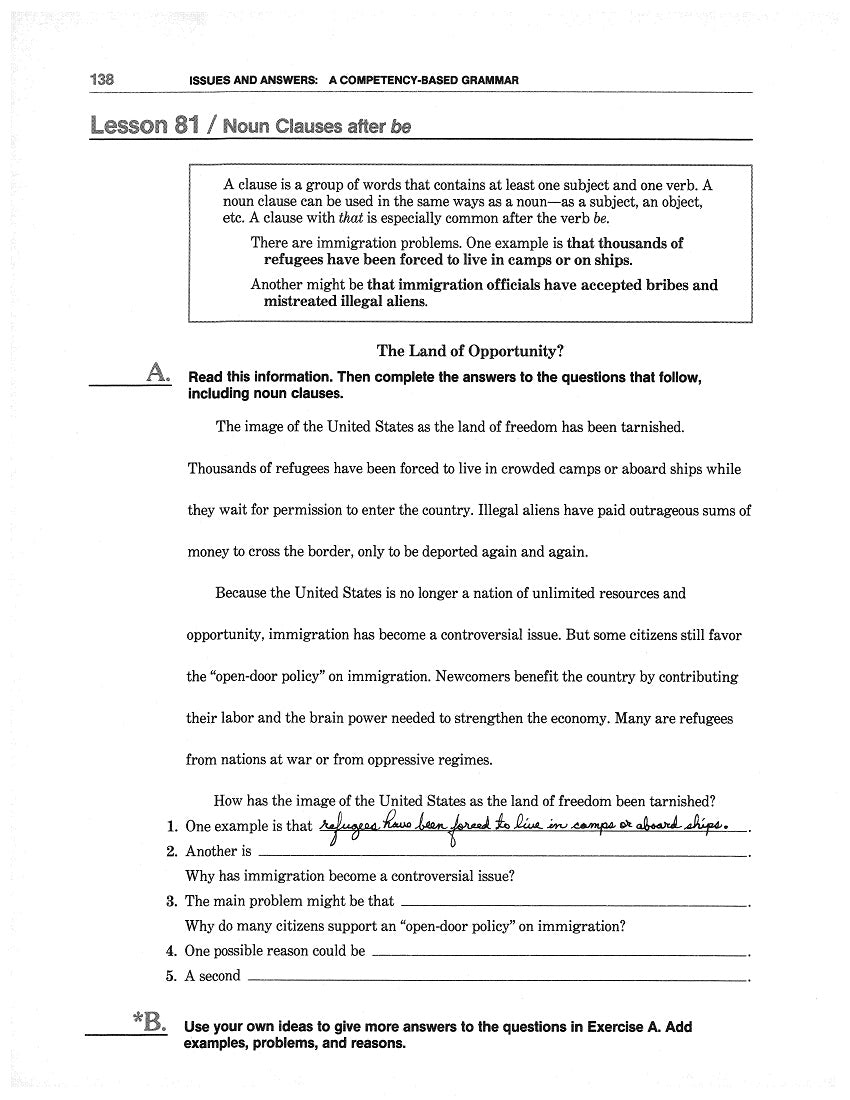
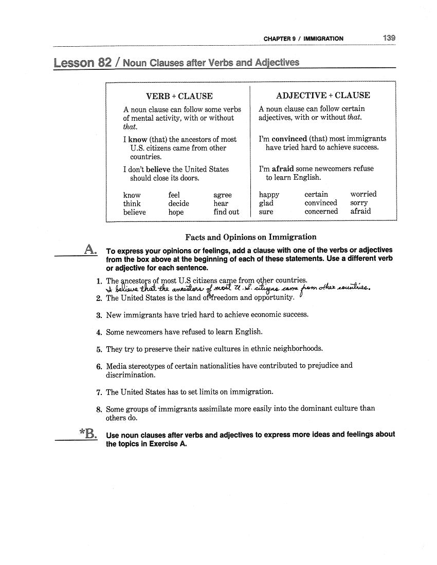
[2] In Lesson 81: Noun Clauses After Be, read info about “The Land of Opportunity?” Use relevant sentence structures to answer questions about it (with your own ideas). In Lesson 82: Noun Clauses after Verbs & Adjectives, notice the vocabulary often used to express “Facts & Opinions (About Immigration). Can you add to the lists? Lesson 83: Noun Clauses after the Filler It will enable you to vary your usage of Noun Clauses while learning about or explaining “Immigration Laws.” Lesson 84: Verb + that + Verb will help you advise, recommend, or insist—and to get or tell what’s essential or important in regard to “Steps in the Immigration Process.”
[3] Lessons 85-89 cover uses of Noun Clauses in “Direct vs. Indirect Speech,” including “Sequence of Tenses.” Their Subject Matter begins with “Immigration Stories,” includes “the Application to File a Petition for Naturalization,” and ends with “Impressions of a New Homeland.” The Chapter culminates with Lesson 90: Noun Clauses after Hope & Wish, based on speculation about “An Immigrant’s Future.”
Couldn't load pickup availability
