1
/
of
5
Work/Life English
D-14.03 Connect Passive vs Active Contrasts, Modals, Causatives, Infinitives & Participial Adjectives
D-14.03 Connect Passive vs Active Contrasts, Modals, Causatives, Infinitives & Participial Adjectives
Regular price
$2.00 USD
Regular price
Sale price
$2.00 USD
Unit price
/
per
Lessons 71-76 of Chapter 8: the Passive (“the Environment”) of WorkLife English Grammar 6: Issues & Answers, pages 124-132
9 pages
Who It’s For: Advanced English-Language Teachers, Helpers, & Students Served by Being Given One More Shot at Having Been Taught “the Passive Voice”
Why It’s Useful: Even more than when operating within “the Active Voice,” teachers / students of “the Passive” may need or appreciate discreet grammar-points Lessons like the six in this Download. Integrated into subject matter related to “The Environment,” these target [71] “Forms,” [72] “the Passive vs. the Active Voice,” [73] “Passive Modal Verb Phrases,” [74] “Causative Verbs & Passive Infinitives,” [75] Past Participles Used as Adjectives,” and [76] “Present vs. Past Participles.” They seem complex, but the layout and progression of these excerpts may clear up confusion.
What You’ll Do:
[1] In the page 124 Chapter Opener, identify which Grammar Topics and Content Titles are likely to pertain to “the Passive Voice.” Imagine how they might do so.
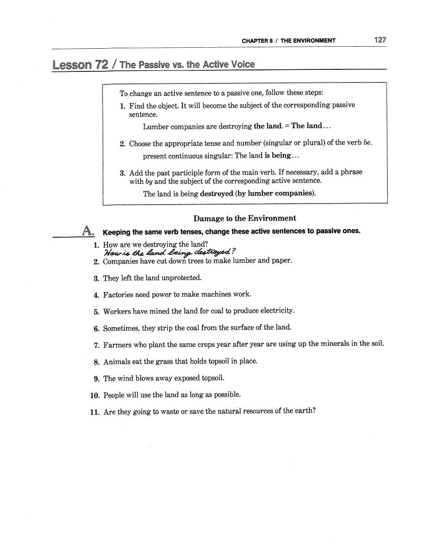
[2] Lesson 71 on pages 125-126 reviews how to construct Passive-Voice Verb Phrases. It provides tools to help answer important questions like “Is the earth being destroyed? What will be preserved for future generations?” Then in Lesson 72 on pages 127-128, you’ll be enabled to convert “active sentences” to passive ones when appropriate—to learn and/or teach about “Damage to the Environment.”
[3] The one-page Lesson 73 tells and helps text users to talk about “The Damage Caused by Fossil Fuels” with Simple vs. Complex (Perfect) Passive Modal Verb Phrasing— when it’s useable. Similarly, Lesson 74 (on the subject of “Saving on Energy Use & Costs”) contributes Causative Verbs like have or get (Verb + Object + Past Participle) to your grammatical repertoire. It even offers Passive Infinitives, as in Verb + Object + to be + Past Participle. If you’d like your abilities to be enhanced by having this material transferred from your screen to paper (by someone else?), go for it.
Couldn't load pickup availability




