1
/
of
5
Work/Life English
D-14.04 Understand, Use the Passive Voice When Appropriate & Expressive
D-14.04 Understand, Use the Passive Voice When Appropriate & Expressive
Regular price
$4.00 USD
Regular price
Sale price
$4.00 USD
Unit price
/
per
Unit 13: The Passive (“Books, Books, Books”) of the Original Scenario, Volume Three: English Grammar in Context, pages 160-174
15 pages
Who It’s For: (Self-)Teachers & Helpers at Intermediate & Advancing Proficiency Levels for Whom (Passive) Academic Review with “Old-Fashioned Pedagogy & Practice” May Be a Relief
Why It’s Useful: In modern speech and writing, application of “the Passive Voice” is often considered “old-fashioned.” Similarly, black-and-white, linear, not yet colorized or updated text material may be perceived as “out-of-date”—and in many ways, it is. Even so, its essence can still be of use.
What You’ll Do:
[1] In reading the page 160 Scenario: Books, Books, Books, notices forms and uses of the Passive in the simulated “textbook pages.” Keep the grammar in mind when doing Comprehension Exercises 1a-1b, perusing the Pedagogy 2-2c, and completing Practice 2d.
[2] In Sections 3-3a on pages 164-166, compare and contrast Intransitive and Transitive Verbs in the Passive vs. Active Voice in many Indicative Verb Tenses & Aspects (Simple, Continuous, Perfect), including structures with Indirect Objects.
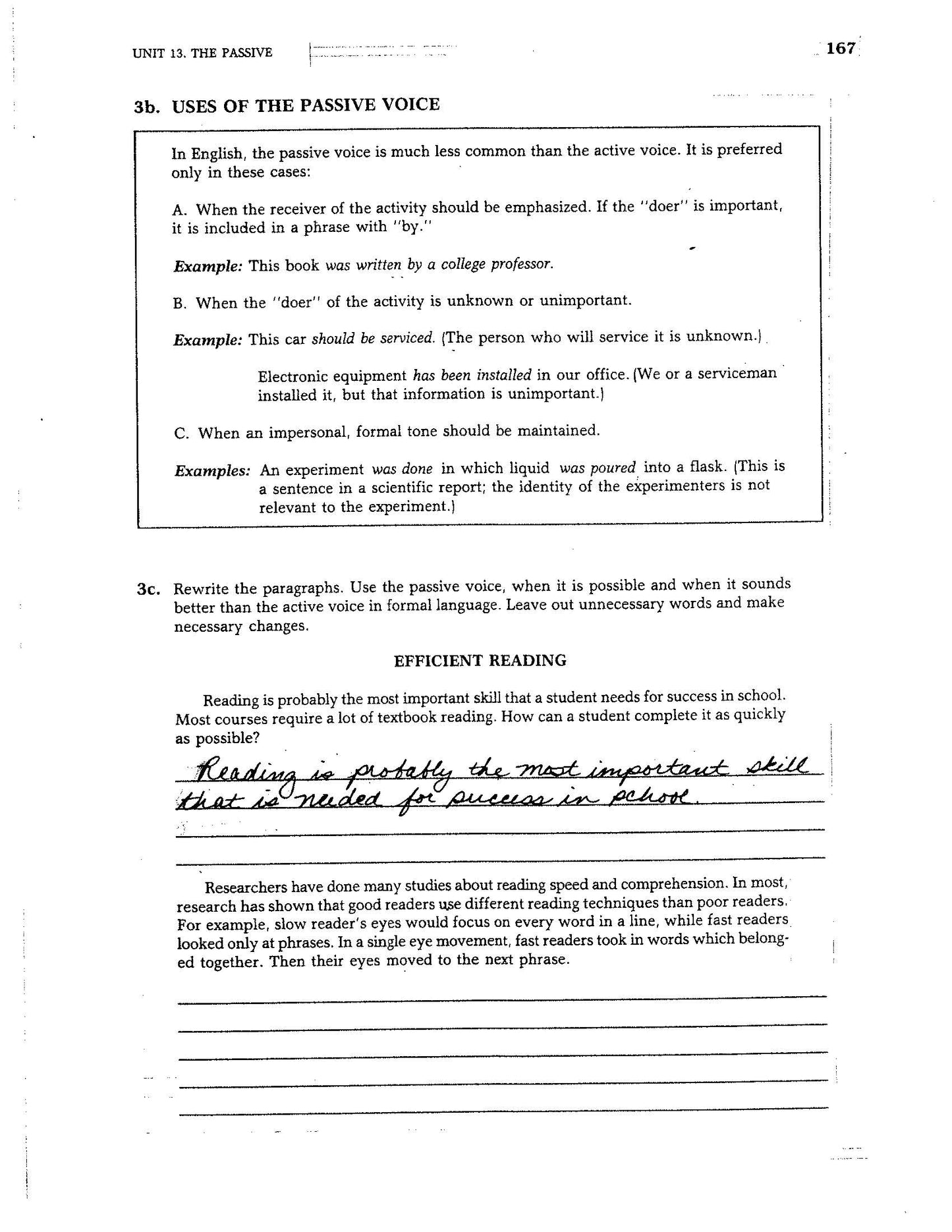
[3] In 3b-3d on pages that follow, understand “Uses of the Passive Voice.” Show (yourselves) that you’ve mastered these by rewriting paragraphs on the subject of “Efficient Reading.” Finally, write down your own (formal) explanations of academic or technical topics that you’ve researched or already know something about.
[4] In 4– 4f on pages 169-174, optimize your knowledge of and ability to use “Adjectives Made from (Present or Past) Participles.) Some Sections feature “advanced details,” like differences between used to Verb & get used to Noun and prepositions (to, with, for, of, in) after Participial Adjectives—which can appear before and after nouns, hyphenated, and/or as noun complements. Finish up by applying recently reviewed grammar while “Talking It Over.”
Couldn't load pickup availability




