1
/
of
6
Work/Life English
D-15.04 Get & Create Adverb Clauses of Time, Contrast, Effect & Purpose and If-Clauses (Real & Contrary-to-Fact)
D-15.04 Get & Create Adverb Clauses of Time, Contrast, Effect & Purpose and If-Clauses (Real & Contrary-to-Fact)
Regular price
$4.00 USD
Regular price
Sale price
$4.00 USD
Unit price
/
per
Lessons 91-100 of Chapter 10: Adverb Clauses & Connecting Words (“Travel & Recreation”) of WorkLife English Grammar 6: Issues & Answers, pages 151-167
17 pages
Who It’s For: (Self-)Teachers & Helpers at High Proficiency Levels Ready to Put Multi-Purposed Subordinate Clauses into Complex Sentences for Various Reasons
Why It’s Useful: Even more than Noun Clauses, Adverbial Clauses can be attached to Simple Sentences (Independent Clauses) to express a variety of concepts: Time Relationships; Opposition (Contrast); Cause (Reason) & Effect; Purpose; Real vs. Unreal (Contrary-to-Fact) Situations, and others. To end an “upper-level” Grammar-in-Context Text, the ten distinct Lessons of Chapter 10 explore these possibilities.
What You’ll Do:
[1] Look over the page 151 Chapter 10 Opener. Notice the ten portions of the Grammar of Adverb Clauses & Connecting Words. Do they cover grammatical topics that you haven’t yet probed—or now want to explore? (If not, what’s missing—and where might you find it?) Can you imagine the kinds of sentences that might relate to the given Travel & Recreation contexts? Show what you know by giving examples.
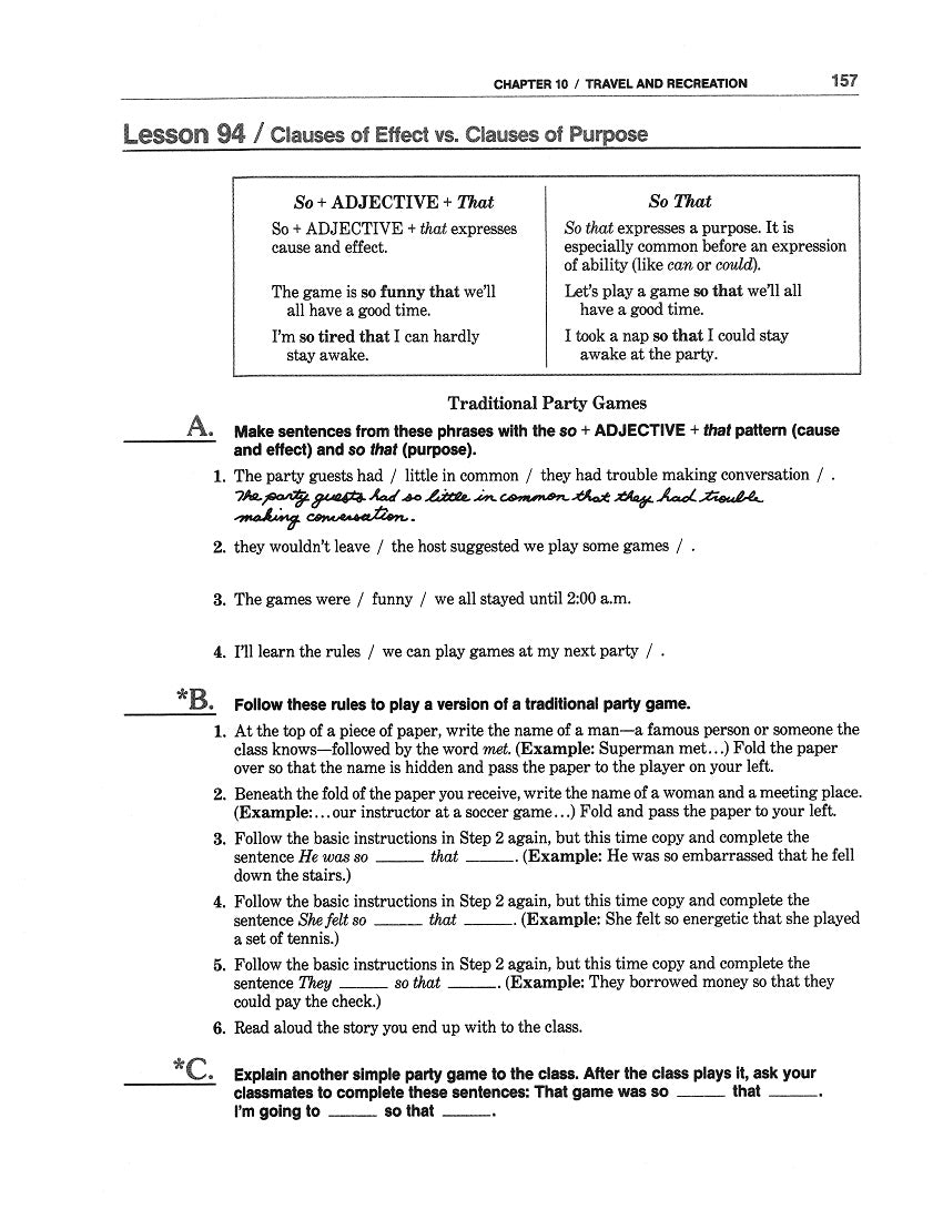
[2] In Lesson 91: Time Clauses, glance through the common time-related Connectors: before, by the time, when(ever), etc. In Exercises A-*C, choose and insert the most appropriate of these in sample passages on “The Rules of Sports (Handball & Tennis).” Use these as models. Then in Lesson 92: Clauses of Opposition, get the import of but, although / even though in Sentences of Contrast about soccer & other sports. Next, Lesson 93: Clauses of Cause (Reason) & Effect presents and practices connectors like because, now that, so/such . . . that—to deliver info and stimulate talk about “Issues in Sports.” While proposing “Traditional Party Games,” Lesson 94 contrasts Clauses of Effect with Clauses of Purpose. Lesson 95 compares Adverb Clauses with Adverbial Phrases. Its Subject Matter is “The Olympic Games.”
[3] Lessons 96-100—all on the subject of “Recreational Travel,” deal with If-Clauses. These can convey “Real Possibility” (for instance, dependent on the weather). They can compare reality with hypotheticals in revelation of “Travel Dreams”—and make “coulda-woulda-shoulda” statements in disclosure of “Travel Regrets.” Finally, in If-Clauses with Continuous Forms and Modal Verbs, they can tell about “Recreational Activities” and “Parties” didn’t turn out as well as had been expected. Although they’ll be less than ideal, enjoy your (imperfect) trips and games!
Couldn't load pickup availability





